
COME SCOPRIRE CON LA MATEMATICA TUTTI I SEGRETI DEL PARANORMALE
13 agosto 2010
Sul mio La magia dei numeri (Kowalski 2010) scrivevo:
L'uso dei numeri per ingannare [è] una vera e propria scienza segreta, utilizzata in ambiti opposti: in modo innocente nell'illusionismo teatrale ma in altri in maniera sottilmente fraudolenta, come nell'economia, nella politica e nella scienza. [...] Beppe Grillo citava l'aneddoto di quel ministro che aveva fatto ampliare del 50% un'autostrada, aggiungendo una corsia alle due già presenti, poi l'aveva ridotta del 33%, rimuovendo la nuova corsia e riportandola a due: sottraendo la seconda percentuale dalla prima, in campagna elettorale poteva così vantarsi di aver aumentato del 17% l'autostrada - ottimo esempio di quella che Darrell Huff definisce "statisticolazione".

A raccontare l'aneddoto nel 1998 fu il The Economist(1): negli anni Settanta il governo messicano si trovò a dover ampliare la capacità di traffico del Viaducto, un'autostrada di quattro corsie. Anziché costruirne una nuova o allargare quella già esistente, il ministro dei trasporti mise in atto un trucco: fece ridipingere le linee divisorie, stringendo le corsie e ricavandone sei. Le nuove corsie, molto più strette, causarono un tale incremento di incidenti che il governo fu costretto a tornare alla situazione originaria. Passare in un primo tempo da 4 a 6 corsie aveva significato accrescere la capacità di traffico del 50%. In un secondo momento, invece, la riduzione aveva ridotto la capacità del 33% (da 6 a 4). Per dimostrare che le infrastrutture erano state migliorate nel corso della legislatura, il governo aveva semplicemente sottratto una percentuale dall'altra, raccontando che complessivamente c'era stato un aumento del 17% (50% - 33%) della capacità di traffico. In realtà, l'autostrada era tornata alle sue condizioni iniziali, e il vero prezzo che i contribuenti avevano dovuto pagare era stato quello della vernice, oltre all'aumento degli incidenti stradali.
_________________
(1) "The Perils of Percentages" in The Economist, 18.04.1998, p.84. L'articolo è disponibile qui.
Questo post è stato pubblicato da Mariano Tomatis il 13 agosto 2010
8 luglio 2010
Segnalata da Richard Wiseman su Twitter e da me tradotta in italiano.

Questo post è stato pubblicato da Mariano Tomatis il 8 luglio 2010
21 giugno 2010
Il "geographic profiling" tra serial killer e bar all'angolo
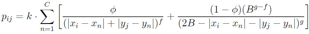
Il "geographic profiling" è una sofisticata tecnica matematica utilizzata in criminologia che serve a definire quali aree urbane siano con più probabilità la sede di un killer seriale.

A partire dai luoghi in cui sono stati commessi dei crimini, una funzione matematica elaborata da Kim Rossmo consente di costruire mappe che segnalano i "luoghi caldi" dove potrebbe risiedere il furfante. E se la mettessi alla prova con i locali che frequento in pausa pranzo, ritroverei il luogo dove lavoro?

A mezzogiorno il centro di Torino offre diverse opportunità culinarie: dal semplice bar alla pizzeria sofisticata, dalla piadineria alla kebabberia... Quasi ogni giorno mi piace cambiare locale, e sono almeno dieci le mie mete preferite.
Bar e ristoranti hanno poco in comune con i luoghi dove sono stati commessi dei crimini, ma i due presupposti fissati da Rossmo funzionano comunque bene:
1) Esiste intorno alla residenza di un criminale seriale una zona franca (buffer zone) dove tende a non colpire;
2) All'aumentare della distanza dalla residenza aumentano gli obiettivi, ma diminuisce la conoscenza della zona e quindi si riduce la probabilità di commettere reati.
Nel caso dei locali dove trascorrere la pausa pranzo:
1) Esiste intorno al luogo di lavoro una zona franca (buffer zone) dalla quale ci si vuole allontanare per cambiare aria;
2) All'aumentare della distanza dal luogo di lavoro aumentano i locali, ma la necessità di rientrare entro un certo orario impedisce di allontanarsi troppo.
Poiché il modello matematico di Rossmo si basa essenzialmente su questi due presupposti, ho provato ad applicarli ai 10 locali che frequento maggiormente. E' possibile individuare la zona in cui lavoro a partire dai posti dove mangio?
Visualizzazione ingrandita della mappa
La formula di Kim Rossmo funziona perfettamente con i dati che le ho fornito: il mio abituale posto di lavoro cade perfettamente al centro della zona calda, rappresentata in giallo al centro della mappa!
All'equazione di Rossmo è dedicata la prima puntata della serie televisiva NUMB3RS, "Punto d'origine":

Questo post è stato pubblicato da Mariano Tomatis il 21 giugno 2010
| « POST PIÙ VECCHI | POST PIÙ RECENTI » |
© 2026 Mariano Tomatis Antoniono